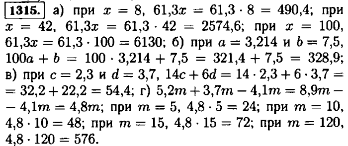
Решебник по математике 5 класс номер 100

Решебник по математике 5 класс номер 100

Гдз математика Тарасенкова 5 клас - гдз математика решебник

Контент опубликованный на сайте защищен законом об авторском праве. Любое частичное или полное копирование опубликованной информации запрещено. Натискаючи на номер вправи ви переходите на сторінку із розвязком та відео з детальними поясненнями. Тем кто интересуется готовыми домашними заданиями - сокращенно ГДЗ - наш сайт так же поможет. Авторы учебника Виленкин Жохов Чесноков. Тоді ми будемо намагатися ще краще вдосконалювати стронінки з розвязаннями та знімати нові відео.

Выберите номер задания: