Гдз по математике 6 класс номер 190

Гдз по математике 6 класс номер 190

Задача 190 - Виленкин, математика 6 класс

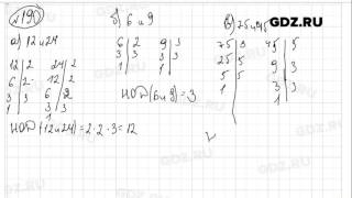
Назад: (к решебнику математика, онлайн ГДЗ, задание 190 Математика 6 класс (Виленкин, Жохов). Вы открыли задание номер 190 из решебника на uchim. Задача 190, найдите наибольший общий делитель чисел: а) 12 и 24; б) 6 и 9; в) 75 и 45; г) 81 и 243; д) 4725 и 7875. А поможет вам не совершить ошибок при выполнении задания 190 (тут вам нужно как раз найти НОД в шести случаях) наше видео-решение. Предыдущее, следующее учебник / номер / 190 видеорешение / номер / 190 решебник / номер / 190 решебник 2 / номер / 190. Издательство: Мнемозина, рекомендуем посмотреть предыдущий следующий решебник 2 / номер / 190 видеорешение 190 предыдущий следующий.

Выберите номер задания: