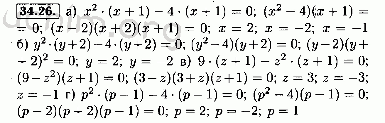
Алгебра 7 класс макарычев гдз номер 34

Алгебра 7 класс макарычев гдз номер 34

ГДЗ по Алгебре 7 класс, макарычев, Миндюк

А.14 больше 8,1 и меньше 8,6; б 9,865 больше 9 и меньше 10; в -839 больше -900 и меньше -800; г -38,7 больше -40 и меньше -30; д 1,7 больше 1- и меньше 1; е 2 больше 2,42 и меньше 2,43. Задание 494, было Т вдень Дни Стало I склад 185 т -15 X склад 237 т -18 X 237-18 По условию имеем: 1,5185 -!5х 237 -18х, 277,5 - 22,5 237 -18х, 22,5х-18х 277,5-237, 4,5 40,5,. Задание 497, л Гу-0,3 5,4, ЩУу 0,7х-ВА Следовательно, - 0,3х 5,4 0,7.x-8,4, х 13,8 1,26, Л13,8;1,26. с 7, -40-8-2с ет:5;-2;7;-9. ГДЗ по Алгебре 7 класс Макарычев, Миндюк. А 6,965 23,3 30,265; в 50,4-6,98 43,42; д 6,5-1,22 7,93; ж 3,725-3,2 11,92; и 53,4:15 3,56; л 75:1,25 60; 6 76,733,27 80; г 88-9,804 78,196; е 0,48-2,5 1,2; з 0,016 0,25 0,004;.94:2.8 6,05; м 123,12:30,4-4,05.

Выберите номер задания: