Алгебре 7 класс макарычев гдз номер 154

Алгебре 7 класс макарычев гдз номер 154

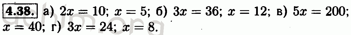
Номер 154 - Макарычев алгебра 7 класс решебник ответы

Самостоятельным ученикам решебник является необходимой печатной помощницей. Предыдущее, следующее решебник / номер / 154 видеорешение / номер / 154 решебник 2 / номер / 154. Показать содержание, гдз дидактические материалы по Алгебре за 7 класс можно найти тут, гдз рабочая тетрадь по Алгебре за 7 класс можно найти тут, учебник / номер / 154 видеорешение номер 154 решебник / номер / 154 решебник 2 / номер / 154. Другие номера : Решебник по алгебре, 7 класс, Макарычев фгос (кликните по решению, если нужно изменить размер). Предмет: Алгебра, класс: 7 класс, автор: Макарычев.Н., Миндюк.Г., Нешков.И., Суворова.Б. Издательство: Просвещение, рекомендуем посмотреть предыдущий следующий решебник 2 / номер / 154 видеорешение 154 предыдущий следующий.

Выберите номер задания: