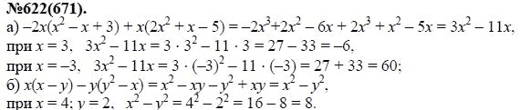
Гдз по алгебре 7 класс номер 137

Гдз по алгебре 7 класс номер 137

ГДЗ решебник по алгебре 7 класс -.А

В 7 классе много дисциплин, которые также требуют сил и времени. Решебник по алгебре 7 класс (Теляковский.А.) представляет собой сборник ответов на все задания учебного года. Излишняя строгость здесь неуместна, ведь так важно и вовсе убить желание познавать новое, хорошо учится. Переживать о невозможности выполнить упражнение не придется, пособие содержит материалы, которые легко усваиваются и доступны для восприятия. Домашние задания стали объемными, разной степени сложности. В результате уравнения и задачи остаются непонятными и нерешенными.

Выберите номер задания: