Гдз по алгебре 7 класс вариант 1

Гдз по алгебре 7 класс вариант 1

ГДЗ по алгебре 7 класс Мордкович - онлайн решебник - uchim

ГДЗ позволят не только проверить верность решения, но и научат грамотно, в соответствии с фгос, записывать полученный результат. Что важно и на олимпиадах, и на экзаменах, текущих и выпускных. Вопросы к олимпиадным работам являются же самыми сложными и представляют собой объемные задачи, несколько видов упражнений и дополнительные задания. Не у всех есть сильный педагог в школе, способный доходчиво, понятно и грамотно объяснить материал. Именно отсюда они черпают все разнообразие задач и примеров, которые может решить ученик средне образовательной школы с хорошей успеваемостью. Самостоятельные работы, самостоятельная работа 1, подготовительный вариант, самостоятельная работа. Николаева «Алгебра7 «Алгебра8 «Алгебра9» Мнемозина 20082010 ориентированные на классы с углубленным изучением математики. Org Домашняя контрольная работа 5 Вариант 1 1, 2, 3, 4, 5, 6, 7, 8, 9 Вариант 2 1, 2, 3, 4, 5, 6, 7, 8, 9 Глава.

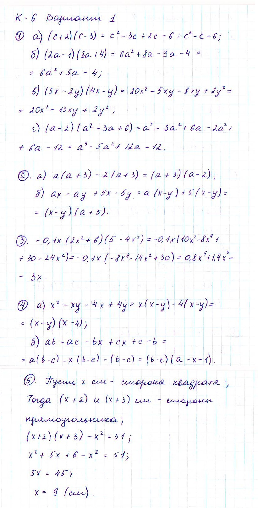
Выберите номер задания: