Алгебра 8 класс мордкович гдз 2016 год

Алгебра 8 класс мордкович гдз 2016 год

Решебник к задачнику по алгебре 8 класс часть 2, мордкович

И гдз по алгебре 8 класс Мордкович не исключение. Их задача проследить, чтобы ребенок решал задачи и примеры сам, при необходимости подсказать (пользуясь ГДЗ по алгебре Мордкович, 8 класс где допущена ошибка и как ее исправить. Данные ГДЗ предназначены в первую очередь для тех учеников, которые не столько хотят бездумно списывать решения, сколько для тех кто хочет сверить правильность своего решения, или для того чтобы понять решения трудных заданий. Множество сборников с готовыми домашними заданиями ко всем учебникам имеются на полках книжных и канцелярских магазинов, более того их можно свободно найти в Интернете. Проверяйте выполненные самостоятельно задания перед тем, как переписывать их в чистовик и не забудьте повторить темы в которых допустили ошибки. Будем благодарны за комментарии, которые можно оставить к каждой задачи.

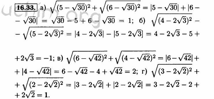
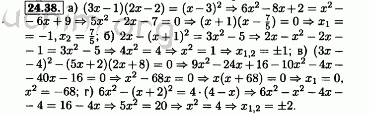
Выберите номер задания: