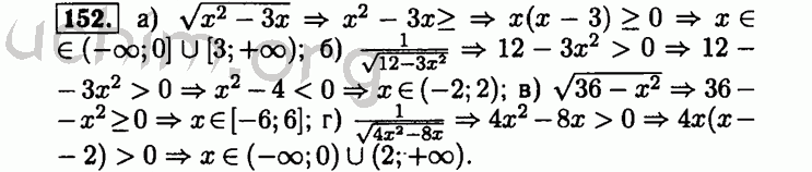
Гдз по алгебре 8 класс 152

Гдз по алгебре 8 класс 152

ГДЗ 152 номер алгебра 8 класс,.Н

Ученики восьмого класса могут встретить сложности на уроке алгебры, если не воспользуются. Задача 152, выполните действия: Реклама: Решение задачи 152 : Выбор задания: Введите номер ГДЗ. ГДЗ, ответы и онлайн решебник к задачнику по алгебре за 8 класс.Н. Кроме того, весь материал гдз английский совершенствуется, добавляются новые сборники решений, книги для учителя и учебники, решебники по изучению английского языка. ГДЗ решебники / 8 класс алгебра макарычев / Упражнение 152, гДЗ(готовые домашние задания решебник онлайн по алгебре за 8 класс авторов Макарычев, Миндюк задание(номер) 152 - вариант решения упражнения 152. О сайте - сайт решебников по английскому языку.

Выберите номер задания: