Гдз по алгебре 8 класс 272

Гдз по алгебре 8 класс 272

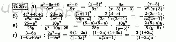
ГДЗ 272 номер алгебра 8 класс,.Н

ГДЗ для Макарычева.Н. Гдз по Алгебре за 8 класс, авторы.Н. Готовые ответы из решебника по алгебре 8 класс от Макарычева помощь в изучении предмета. Суворова, от издательства Просвещение 2015.  это решебник, практическое пособие, которое содержит готовые ответы на задачи и примеры второй части одноименного учебника, составленного коллективом российских авторов:.Н. В качестве приложений в учебнике приведены задачки повышенной сложности, исторические факты и ключевые правила алгебры за 7 класс. Помощь в приобретении навыков выполнения алгебраических задач и уравнений может оказать решебник по алгебре за 8 класс Макарычев.Н.

Выберите номер задания: