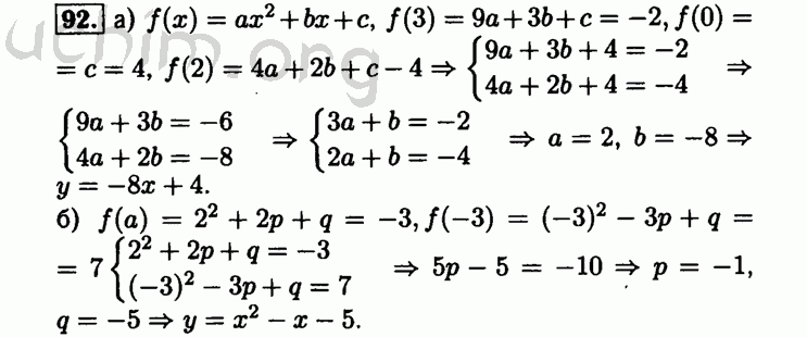
Гдз по алгебре 8 класс 92

Гдз по алгебре 8 класс 92

ГДЗ решебник по алгебре 8 класс, макарычев

Google, формат: pdf ( 2011; 4-е изд., перераб. Б) Мальчик прочитал 42 страницы, и ему осталось прочитать на 8 страниц меньше, чем он уже прочитал. Каждый тест представлен в 4 вариантах и содержит разноуровневые задания. Линейное уравнение с одной переменной. Соза р а та -; со5р -;. Способ подстановки 70, с-29. ГДЗ по Алгебре для 11 класса.

Выберите номер задания: