Гдз по геометрии 8 класс мерзляк якир

Гдз по геометрии 8 класс мерзляк якир

Решебник (ГДЗ) Геометрія 8 класс.Г

Якир способен выполнить все требования геометрии восьмого класса, а это и значить сможет заинтересовать ученика в изучении этого интереснейшего предмета. Поэтому родителям не стоит бояться плохого влияния решебника. Рекомендуем посмотреть, номера Ответы на вопросы. Подробные гдз и решебник по геометрии за 8 класс, авторы: Мерзляк.Г., Полонський.Б., Якір.С. ГДЗ по геометрии 8 класс Мерзляк в нем вы найдете решения на каждое задание, согласно основному учебника геометрии за восьмой класс. ГДЗ содержит все ответы на вопросы и поможет Вам правильно выполнить домашнее задание.

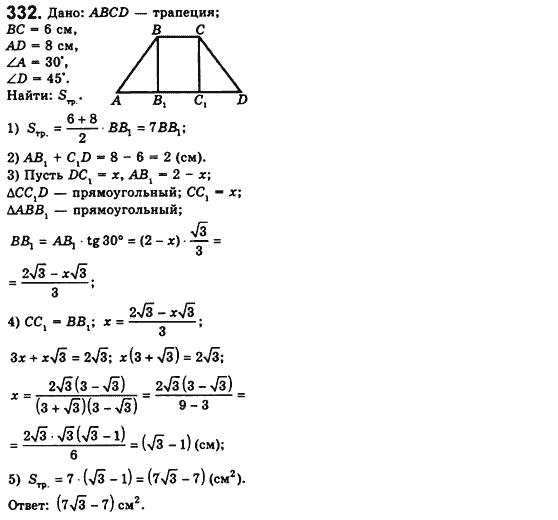
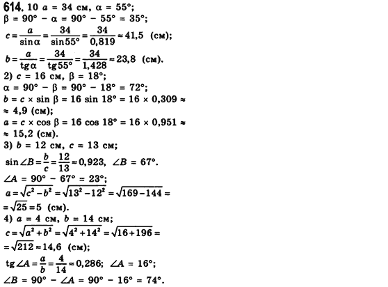
Выберите номер задания: