Гдз решебник по алгебре 8 класс макарычев

Гдз решебник по алгебре 8 класс макарычев

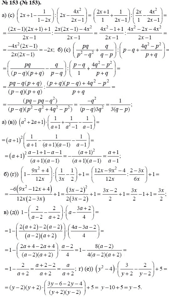
Решебник (ГДЗ) по алгебре 8 класс Макарычев

Org Чтобы увеличить, нажмите на кнопку внизу. Потому наличие методического пособия Макарычева поможет немного разобраться с порядком выполнения. При этом будут выучены правила по теме, проанализируются примеры. Советуем использовать родителям для проверки. Особенное внимание в нем уделяется выполнению сложных заданий, которые имеют полные разъяснения. ГДЗ Алгебра 8 класс Алгебра 8 класс. Пособие состоит из 5 глав.

Выберите номер задания: