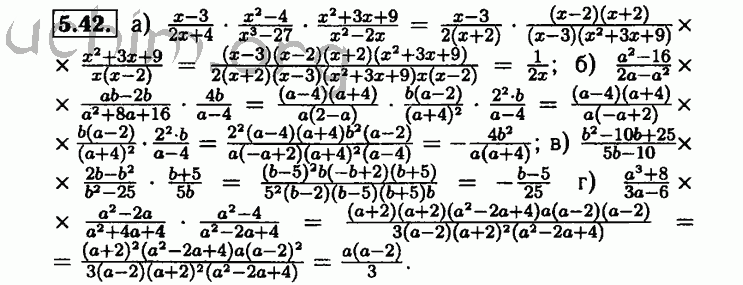
Решебник по алгебре 8 класс номер 5

Решебник по алгебре 8 класс номер 5

Решебник (ГДЗ) по алгебре 8 класс Макарычев

Правильное направление заставит школьника, если не знает, перечитать определенный раздел в поиске истины. Усложненные упражнения сопровождаются комментариями автора для лучшего понимания хода решений. Вы открыли задание номер.5 из решебника на uchim. Состоит из пяти глав: Глава 1: рациональные дроби решения заданий на сумму и разность дробей, а также на преобразование рациональных выражений; Глава 2: квадратные корни задания, посвященные свойствам арифметического квадратного корня и преобразованию двойных радикалов; Глава 3: квадратные уравнения представлены ответы и решение заданий. Номера задач Контрольные вопросы и задания.

Выберите номер задания: