Смотреть гдз по алгебре 8 класс мордкович

Смотреть гдз по алгебре 8 класс мордкович

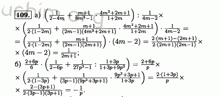
ГДЗ по, алгебре за 8 класс : Мордкович,.Г

Как построить график функции у f(x) т, если известен график функции у f(т).1.2.3.4.5.6.7.8.9.10.12.13.14.15.16.17.18.19.20.21.22.23.24.25.26.27.28.29.30.31.32.33. Решение линейных неравенств.1.2.3.4.5.6.7.8.9.10.11.12.13.14.15.16.17.18.19.20.21.22.23.24.25.26.27.28.29.30.31.32.33.34.35.36.37.38. Справиться со всем этим поможет решебник по алгебре 8 класс Мордкович, воспользоваться которым вы сможете здесь. Возведение алгебраической дроби в степен.1.2.3.4.5.6.7.8.9.10.11.12.13.14.15.16.17.18.19.20.21.22.23.24.25.26.27.28.29.30.31.32.33.34.35.36.37.38.39.40.

Выберите номер задания: