Гдз алгебра 9 класс задачи на повторение

Гдз алгебра 9 класс задачи на повторение

ГДЗ Задачи на повторение Алгебра 9 класс.Г

КР-3, вариант 1, вариант. Итоговое повторение, числовые выражения, показать все задания, алгебраические выражения. Издательство: Мнемозина, новые решения смотри на, рекомендуем посмотреть предыдущий следующий, решебник 1 / итоговое повторение / задачи на составление уравнений / 26 решебник 2 / итоговое повторение / задачи на составление уравнений / 26 предыдущий следующий. Пропустив несколько домашних работ, школьники могут испытывать сложности в освоении последующих математических понятий и в результате запустить сложную дисциплину. Показать все задания, функции и графики, показать все задания. Готовые домашние задания к задачнику по алгебре для 9 класса авторов.Г.

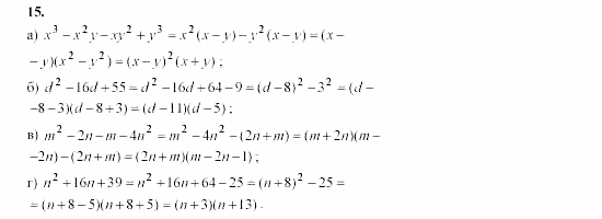
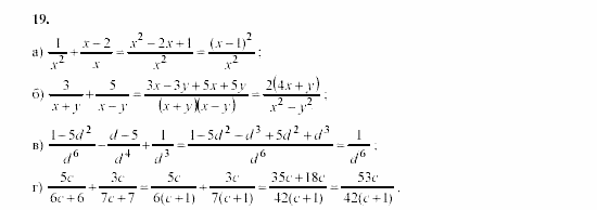
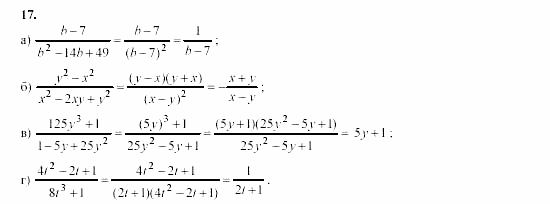
Выберите номер задания: