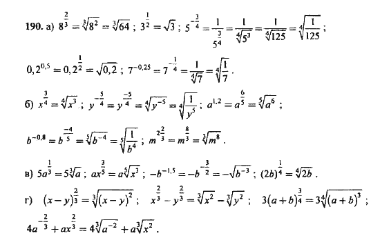
Гдз по алгебре 9 класс макарычев 191

Гдз по алгебре 9 класс макарычев 191

ГДЗ 191 номер алгебра 9 класс.Н

Зачастую учащиеся имеют сложности с учебой в школе, потому что груз ответственности чересчур тягостен, и они нарабатывают стресс. Дзок / 9 класс алгебра / Макарычев.Н. В представленном сборнике ответов состоят исчерпывающие решения по главным курсам. Издательство: Просвещение, рекомендуем посмотреть предыдущий следующий решебник / номер / 191 видеорешение 191 решебник 2 / номер / 191 предыдущий следующий. ГДЗ по алгебре 9 класс Макарычев ребенок сможет всегда проверить правильность своего решения и исправить ошибки в случае необходимости. Готовые домашние задания - ГДЗ по алгебре - Алгебра 9 класс.

Выберите номер задания: