Списать гдз по алгебре 9 класс

Списать гдз по алгебре 9 класс

ГДЗ, алгебра 9 класс, онлайн решебники, ответы к домашним заданиям

Специально для этого случая разработаны решебники по алгебре за 9 класс. Поскольку многие задачи разобраны поэтапно, включают в себя выводы и пояснения, старшеклассники с легкостью поймут, когда применять ту или иную формулу. Решебник соответствует учебнику и найти в нем определенную задачу очень просто (по главам и нумерации). В результате учащиеся повысят свои оценки и шансы на успешную сдачу экзаменов. Тщательно прорабатывая материал из ГДЗ, изучая построение графиков, правильное применение сложных формул, штудируя решения разнообразных алгебраических задач, девятиклассник самостоятельно сможет подтянуть свою успеваемость (которая наилучшим образом отразиться в его аттестате) и достойно подготовиться к заключительным экзаменам. Систематические занятия помогут запомнить формулы и алгоритмы и приведут к уверенному пониманию алгебры как науки и соответственно к отличным оценкам. Современная программа по алгебре в 9 классе характеризуется особой сложностью и насыщенностью. Перед итоговой аттестацией необходимо повторить большие объемы информации, выявить свои слабые стороны и сделать акцент на изучении именно тех разделов школьной программы, которые кажутся наиболее непонятными.

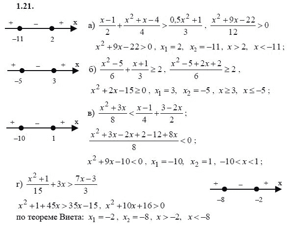
Выберите номер задания: